• Предмет: Математика
  • Автор: anna2294
  • Вопрос задан 8 лет назад

нужна помощь помогите плиз)

Приложения:

Ответы

Ответ дал: silentium33
0
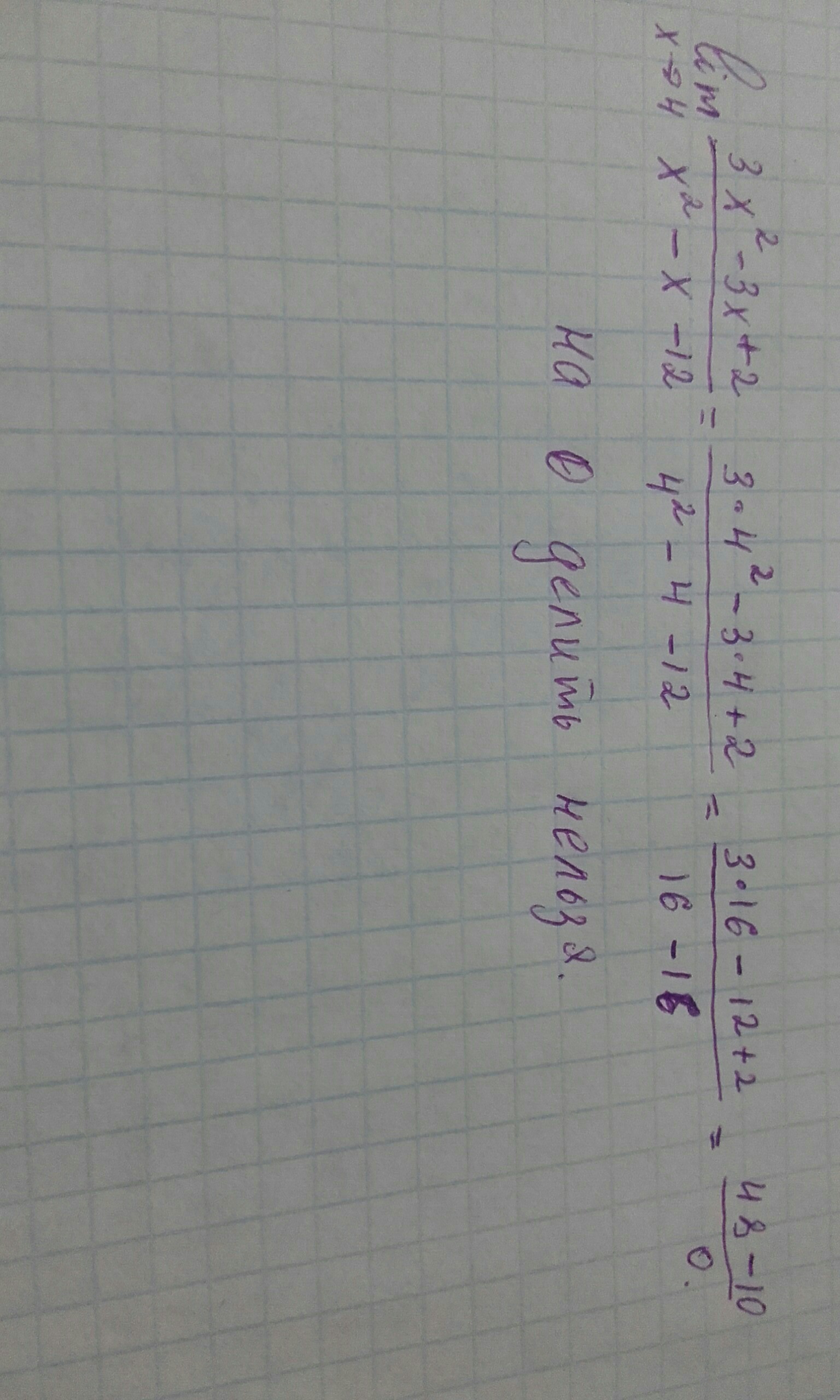
посмотри может ты неправильно писала.. а вот на то что ты отправила ответ такой
Приложения:
Ответ дал: anna2294
0
там все так написано
Ответ дал: silentium33
0
значит ответ будет тот что я тебе отправила..
Ответ дал: anna2294
0
спасибки
Вас заинтересует