• Предмет: Алгебра
  • Автор: Елизавета1Майер
  • Вопрос задан 8 лет назад

Помогите решить с дробью

Приложения:

Ответы

Ответ дал: ggwp2320
0

 -  frac{1}{5} x {}^{2}  =  - 20 \ x {}^{2}  =  - 20 div ( -  frac{1}{5} ) \ x {}^{2}  = 100 \ x {}^{1}  = 10 :  :  :  : x {}^{2}  =  - 10
Надо больший корень значит ответ 10
Ответ дал: Annochka92739
0
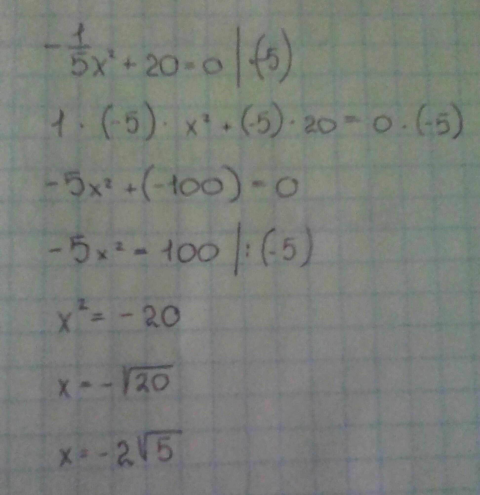
Вот вроде всё понятно.
Приложения:
Вас заинтересует