• Предмет: Математика
  • Автор: communismlive
  • Вопрос задан 8 лет назад

Показательные уравнения

Приложения:

Ответы

Ответ дал: magazinnykecks
0

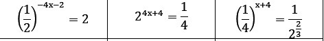
1. 2^(4х+2)=2

4х+2=1

х=-1/4

2. 4^(2х+2)=4^-1

2х+2=-1

Х=-3/2

3.

Ответ дал: magazinnykecks
0
Х=-3⅔
Ответ дал: communismlive
0
3 целых 2/3 ?
Ответ дал: magazinnykecks
0
Да
Ответ дал: communismlive
0
спасибо
Ответ дал: magazinnykecks
0
Не за что
Вас заинтересует