Ответы
Ответ дал:
0
Вот решение)))
Лови))
Лови))
Приложения:

Ответ дал:
0
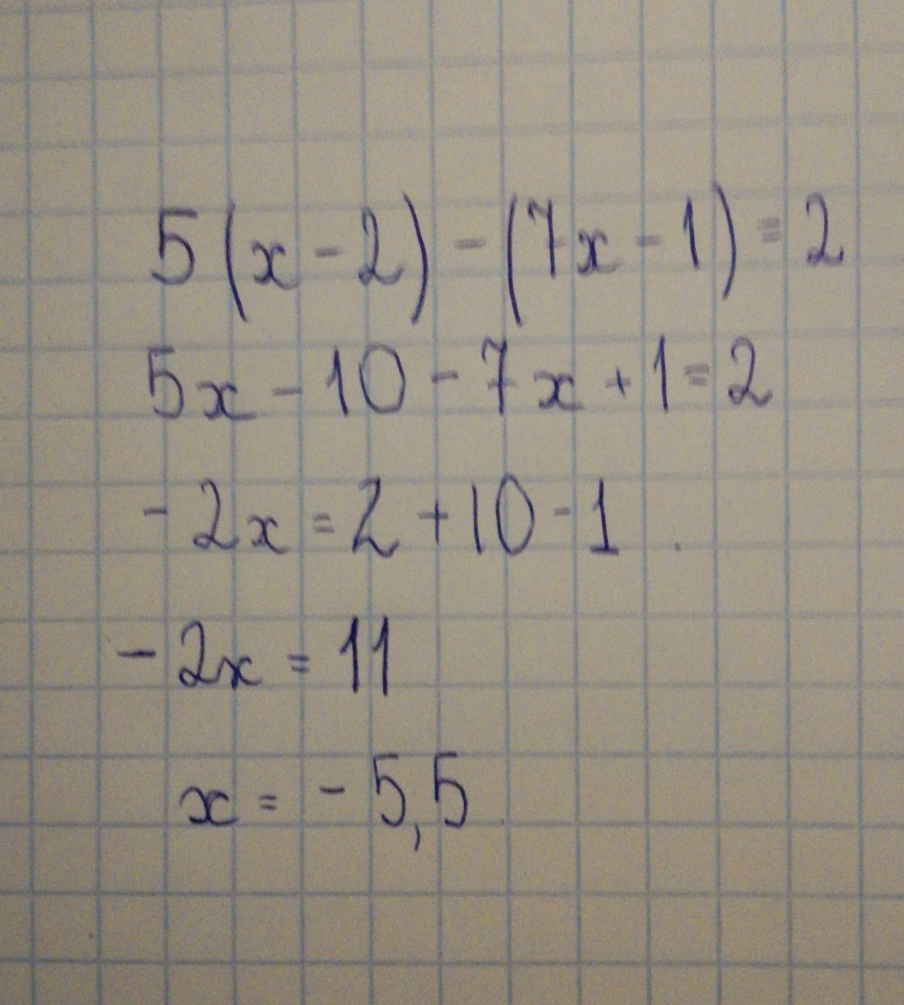
5х-10-7х+1-2=0 (если раскрыть скобки и перенести всё в одну сторону).
-2х-11=0 (сводим одинаковые части)
2х=-11
Делим на два:
х=-5,5
Приложения:

Вас заинтересует
2 года назад
2 года назад
3 года назад
3 года назад
9 лет назад
9 лет назад
9 лет назад