Ответы
Ответ дал:
0
ответ на фото.......................
Приложения:

Ответ дал:
0
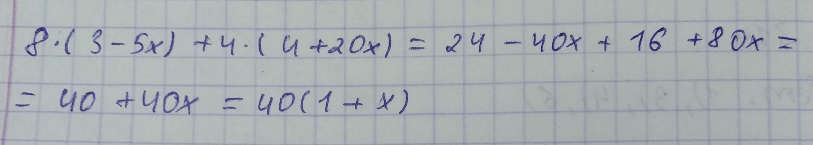
8*(3-5x)+4*(4+20x)=24-40x+16+80x= 24+16+80x-40x=40+40x
Приложения:

Вас заинтересует
3 года назад
3 года назад
9 лет назад
9 лет назад
9 лет назад