• Предмет: Алгебра
  • Автор: ЛОЛОЛОЛОЛОЛКЕККАК
  • Вопрос задан 8 лет назад

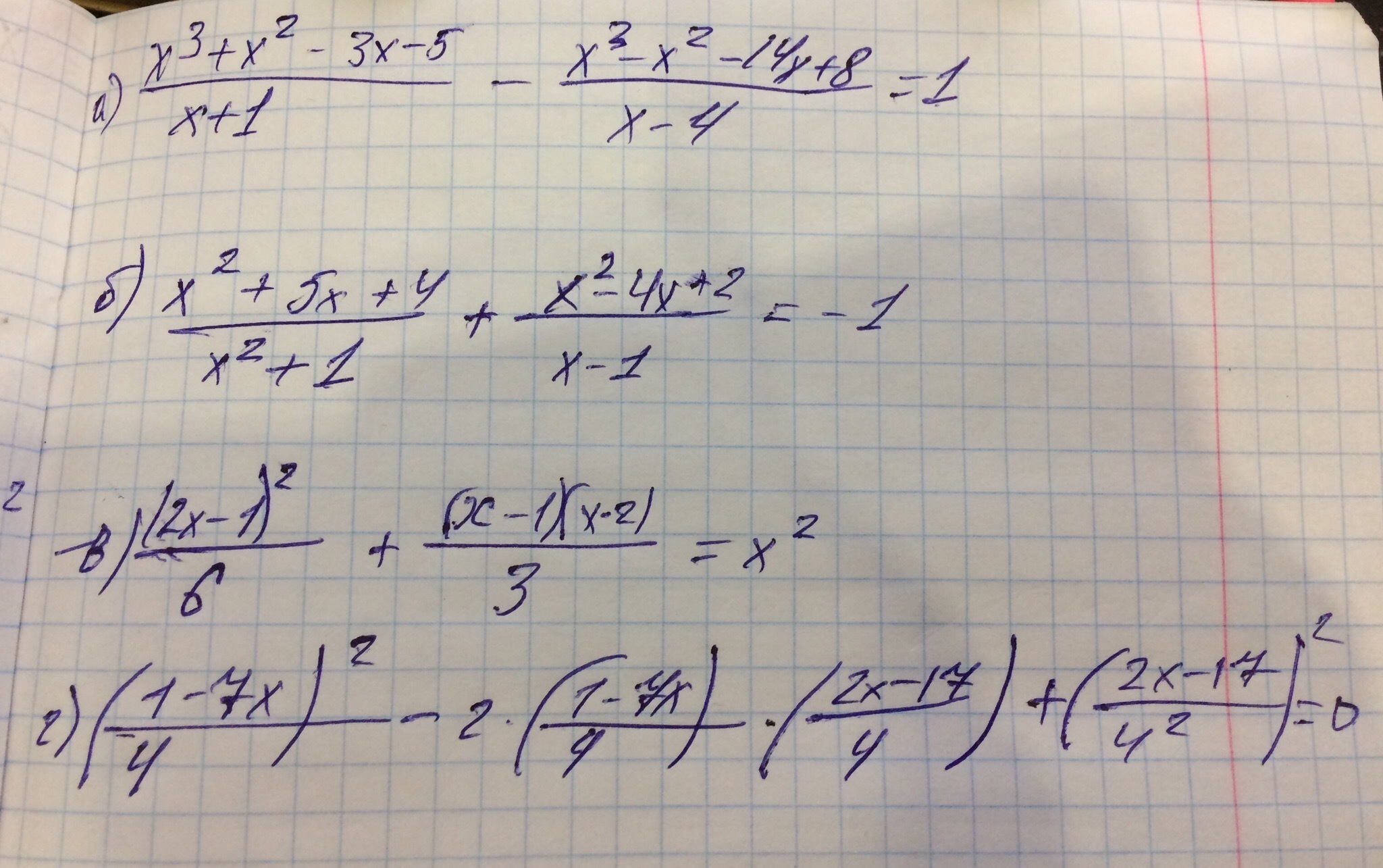
Алгебра 8 класс, именно не понимаю как делить числитель на знаменатель.

Приложения:

Ответы

Ответ дал: pasha6820
0
1 формула (а-b)2
2сделать одинаковый знаменатель
3(вычетание,сумма) числители (-+)
3(умн) просто все перемножаем и смотреть за взуничт. и формулами
Ответ дал: ЛОЛОЛОЛОЛОЛКЕККАК
0
в классе мы сначала делили числитель на знаменатель в первой и второй дроби
Ответ дал: pasha6820
0
ну так тоже можно Если так учили Там смотря какие примеры
Ответ дал: ЛОЛОЛОЛОЛОЛКЕККАК
0
За сколько баллов решение напишешь?
Вас заинтересует