• Предмет: Алгебра
  • Автор: 1122334Юля
  • Вопрос задан 11 лет назад

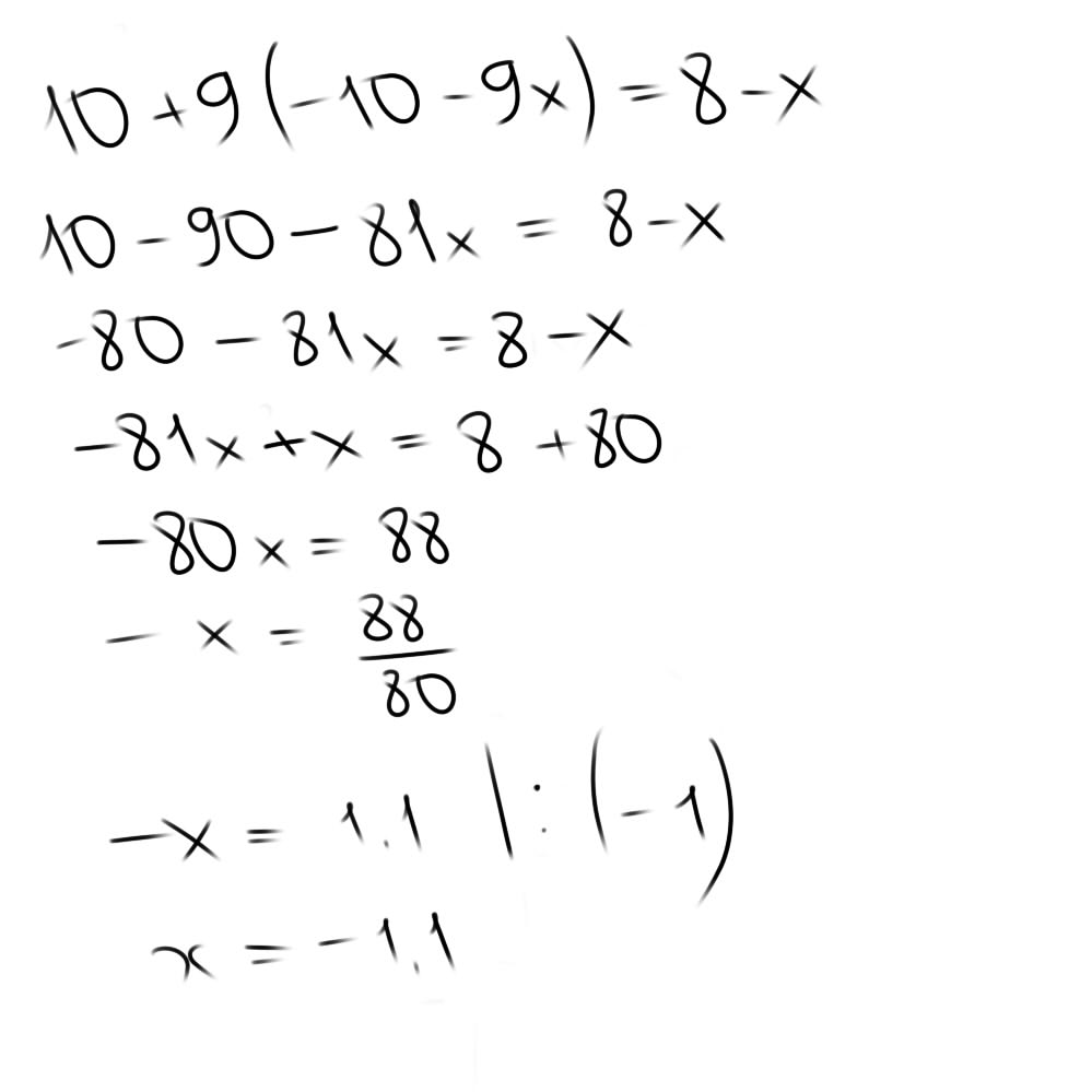
помогите решить 10+9(-10-9x)=8-x

Ответы

Ответ дал: Jamilya98
0
10-90-81x=8-x
-81x+x=8+80
-80x=88
x=-1.1
Ответ дал: janefroste
0
Вот, собственно 
Приложения:
Вас заинтересует