Ответы
Ответ дал:
0
х^4 + 10х^3 - 125х - 54 = х^4 + 10х^3 + 25x^2 - 25x^2 - 125х - 54 =
= (x^2+5x)^2 - 25(x^2+5x) - 54=0
подстановка
y=x^2+5x
уравнение примет вид
y^2-25y-54=0
корни его
y1=27
y2=-2
далее решаем 2 квадратных уравнения
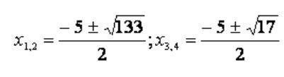
x^2+5x=27 или x^2+5x-27=0
x^2+5x=-2 или x^2+5x+2=0
ответ на картинке
Приложения:

Вас заинтересует
2 года назад
2 года назад
3 года назад
3 года назад
9 лет назад
9 лет назад