• Предмет: Алгебра
  • Автор: tatyunavlas1978
  • Вопрос задан 8 лет назад

Пож. Нужна помощь!
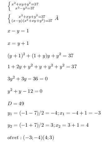
Решите систему уравнений
x^2+xy+y^2=37
x^3-y^3=37

Ответы

Ответ дал: maksimcat
0

ответ на фото\\\\\\\\\\\\\\\\\\\\\\\\\\\\

Приложения:
Вас заинтересует