• Предмет: Математика
  • Автор: felixargyletrue
  • Вопрос задан 8 лет назад

34 балла!!!
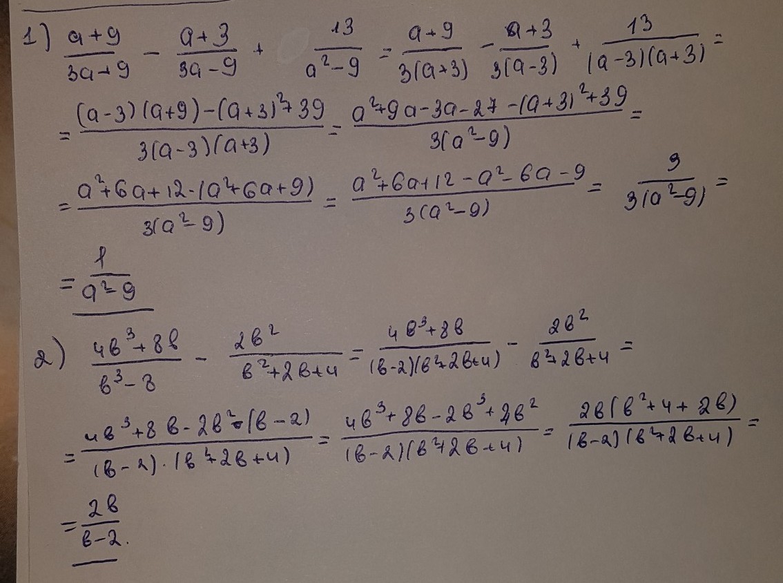
Упростите выражение: 1) a+9/3a+9 - a+3/3a-9 + 13/a^2-9 2) 4b^3+8b/b^3-8 - 2b^2/b^2+2b+4

Ответы

Ответ дал: Rico99
0
..........................
Приложения:
Вас заинтересует