• Предмет: Алгебра
  • Автор: Аноним
  • Вопрос задан 8 лет назад

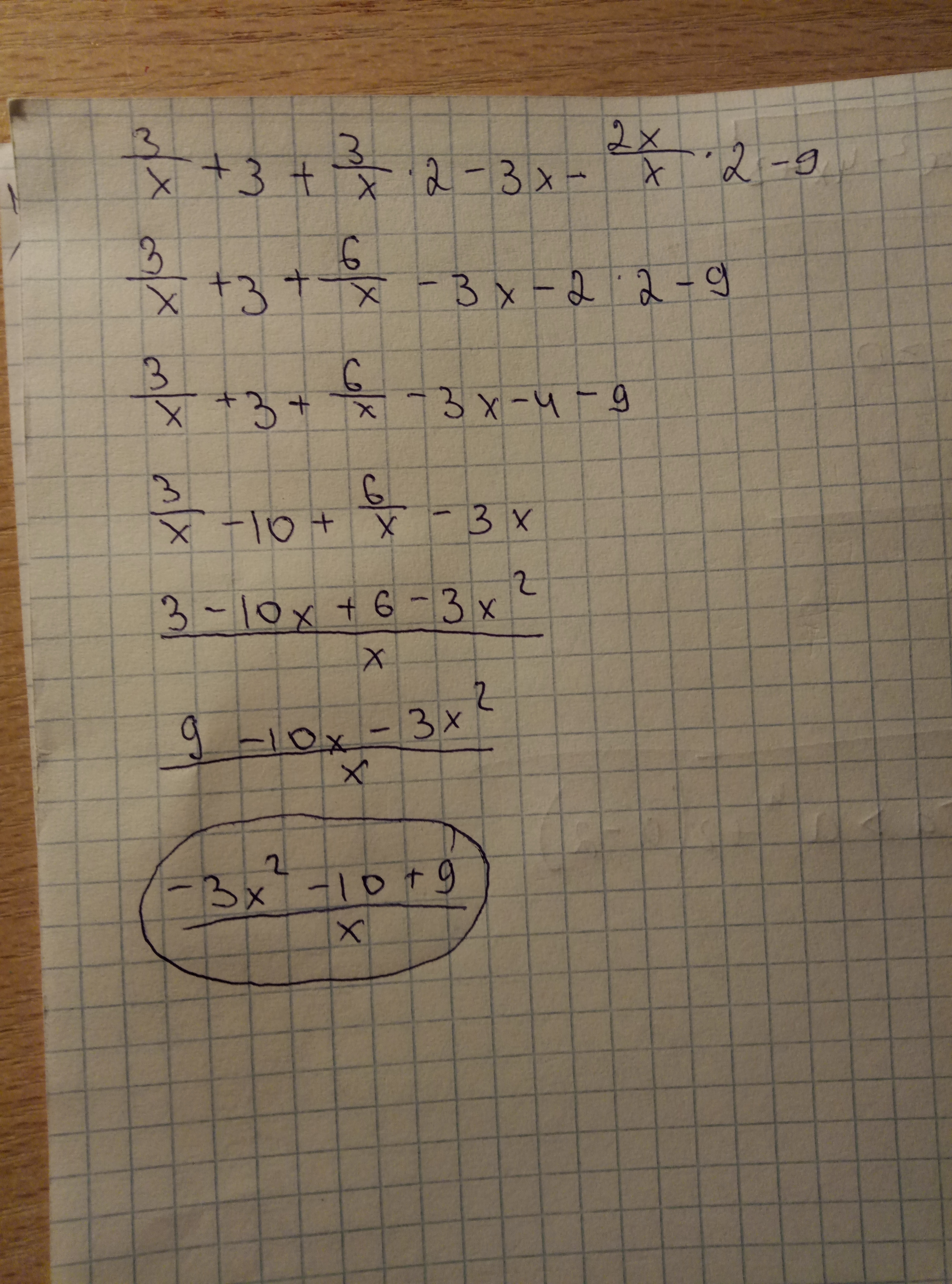
Упростите выражение 3/х+3 + 3/х 2 - 3х - 2х/х 2 - 9

Ответы

Ответ дал: виталина129
0

Вот, думаю  разберешь  мой почерк

Приложения:
Ответ дал: Аноним
0
помоги пожалуйста мне ещё с этим
Ответ дал: Аноним
0
а) 3-2х/ - 1-х 2 /х 2
Ответ дал: Аноним
0
б) х/х-1 + х/х+1
Ответ дал: Аноним
0
умоляю
Вас заинтересует