• Предмет: Алгебра
  • Автор: Наденька2016
  • Вопрос задан 8 лет назад

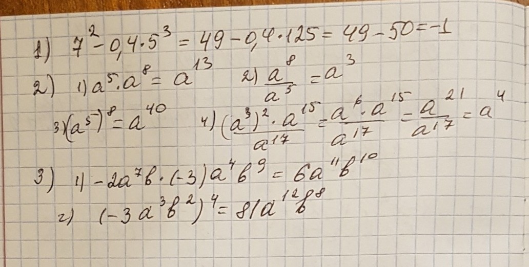
Вариант 4.
1. Найдите значение выражения: 7^2-0,4*5^3
2.Представьте в виде степени выражения: 1)a^5*a^8 2)a^8/a^5 3)(a^5)^8 4)(a^3)^2*a^15/a^17
3. Преобразуйте выражение в одночлен стандартного вида: 1)-2a^7b*(-3)*a^4b^9 2)(-3a^3b^2)^4

Ответы

Ответ дал: 1233090
0
решение задания смотри на фотографии
Приложения:
Ответ дал: antoniokox
0
Здравствуйте, не подскажете из какого это учебника?
Ответ дал: 1233090
0
с какого учебника не знаю.Я просто решил,то что просили.
Вас заинтересует