• Предмет: Алгебра
  • Автор: Аноним
  • Вопрос задан 8 лет назад

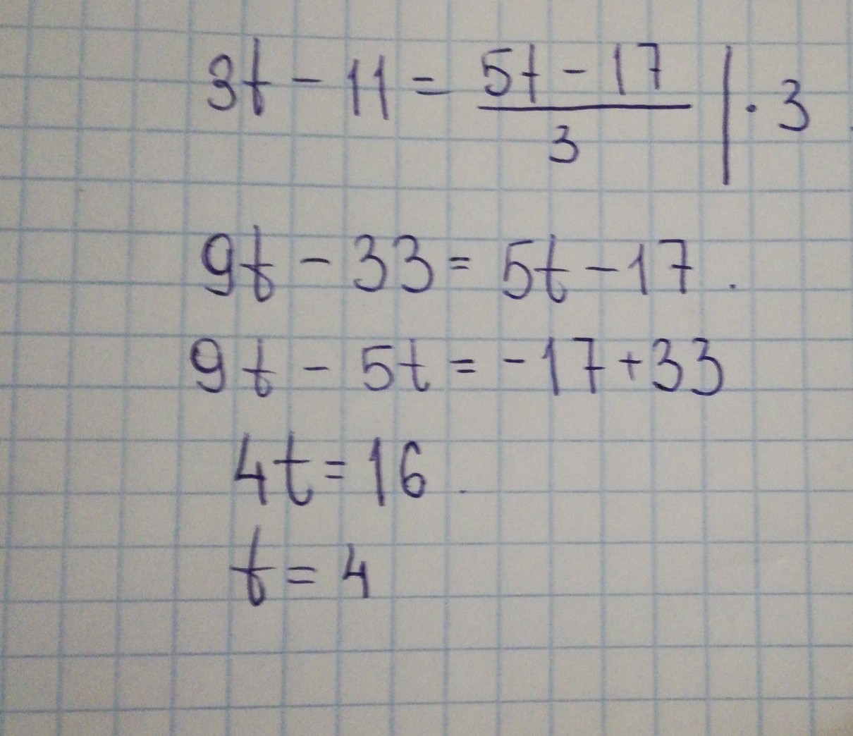
3t-11= 5t-17
          ---------
             3

Ответы

Ответ дал: ashot023
0
Вот решение))
Лови))
Приложения:
Ответ дал: ashot023
0
надо было
Ответ дал: ashot023
0
ибо дробь
Ответ дал: Аноним
0
а что такое дробь
Ответ дал: ashot023
0
загугли
Ответ дал: Аноним
0
а что значит забухлить
Вас заинтересует