• Предмет: Алгебра
  • Автор: Аноним
  • Вопрос задан 8 лет назад

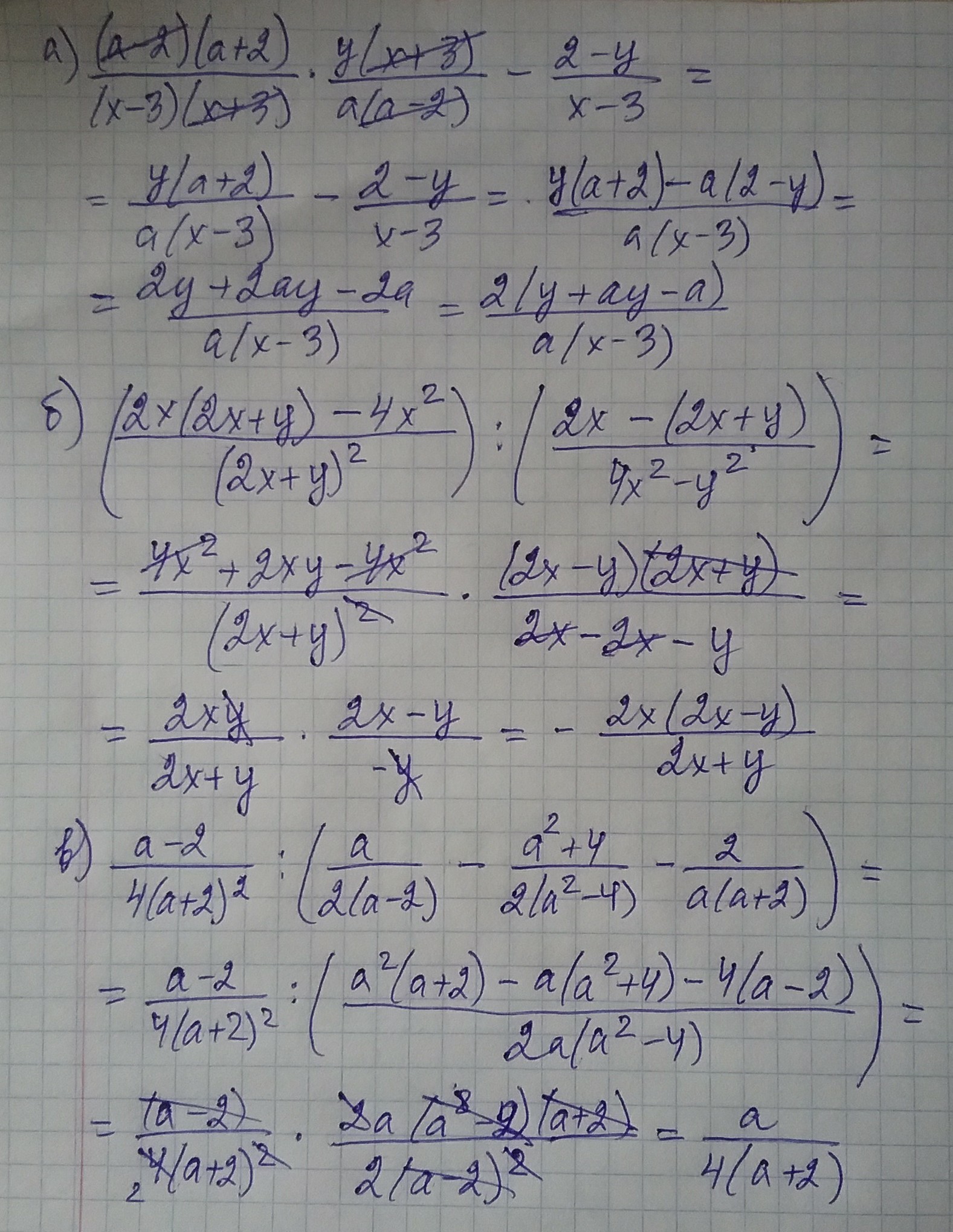
Нужно решить задиние на фото там нужно упростить вырожение

Приложения:

Ответы

Ответ дал: 7772738
0
надеюсь все верно, удачи
Приложения:
Вас заинтересует