• Предмет: Алгебра
  • Автор: yunetskaya
  • Вопрос задан 8 лет назад

помогите решить алгебра 11 класс

Приложения:

Ответы

Ответ дал: ЯгодкаЯлесная
0
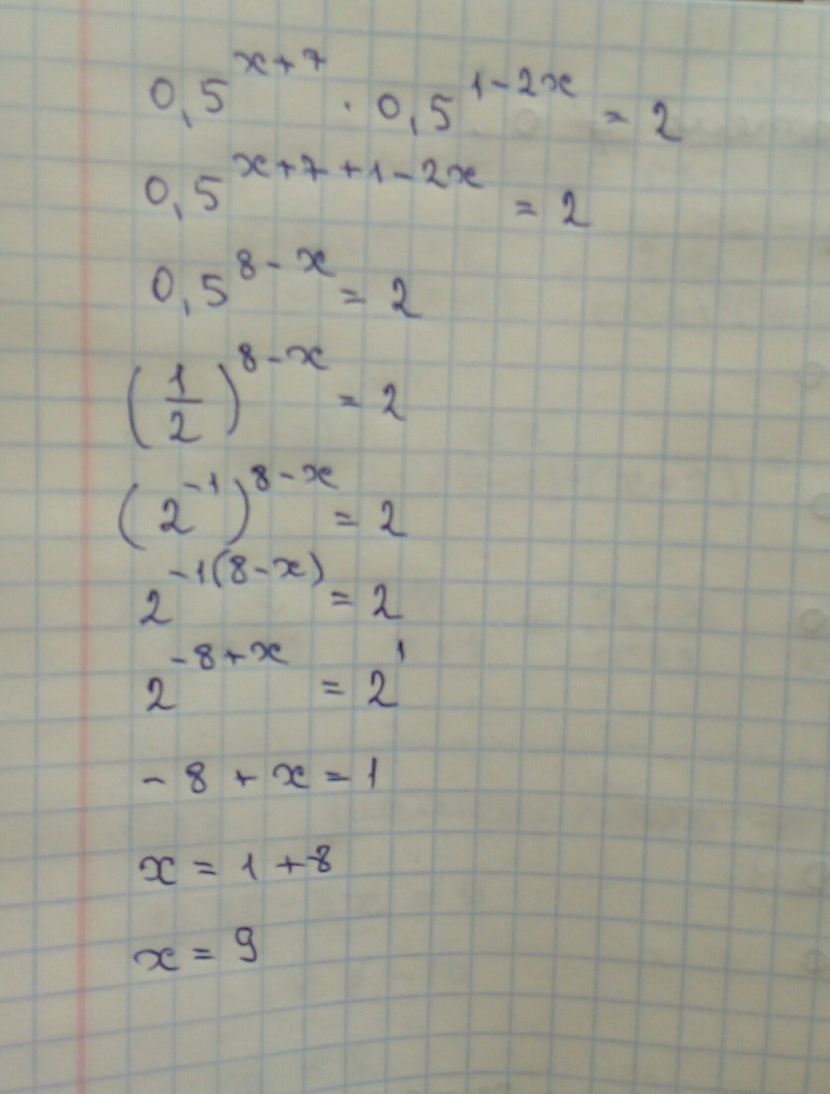
фоточка тебе в помощь
Приложения:
Вас заинтересует