• Предмет: Математика
  • Автор: alexmax235
  • Вопрос задан 8 лет назад

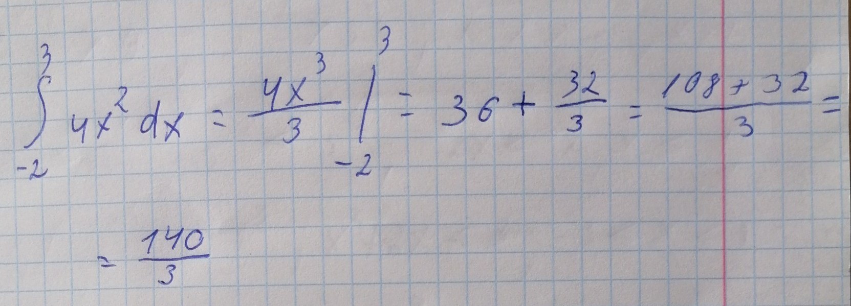
Нужно решить простой интеграл

Приложения:

Ответы

Ответ дал: dinozavr22
0
Удачи!!
***************
Приложения:
Вас заинтересует