• Предмет: Алгебра
  • Автор: dter56ef
  • Вопрос задан 8 лет назад

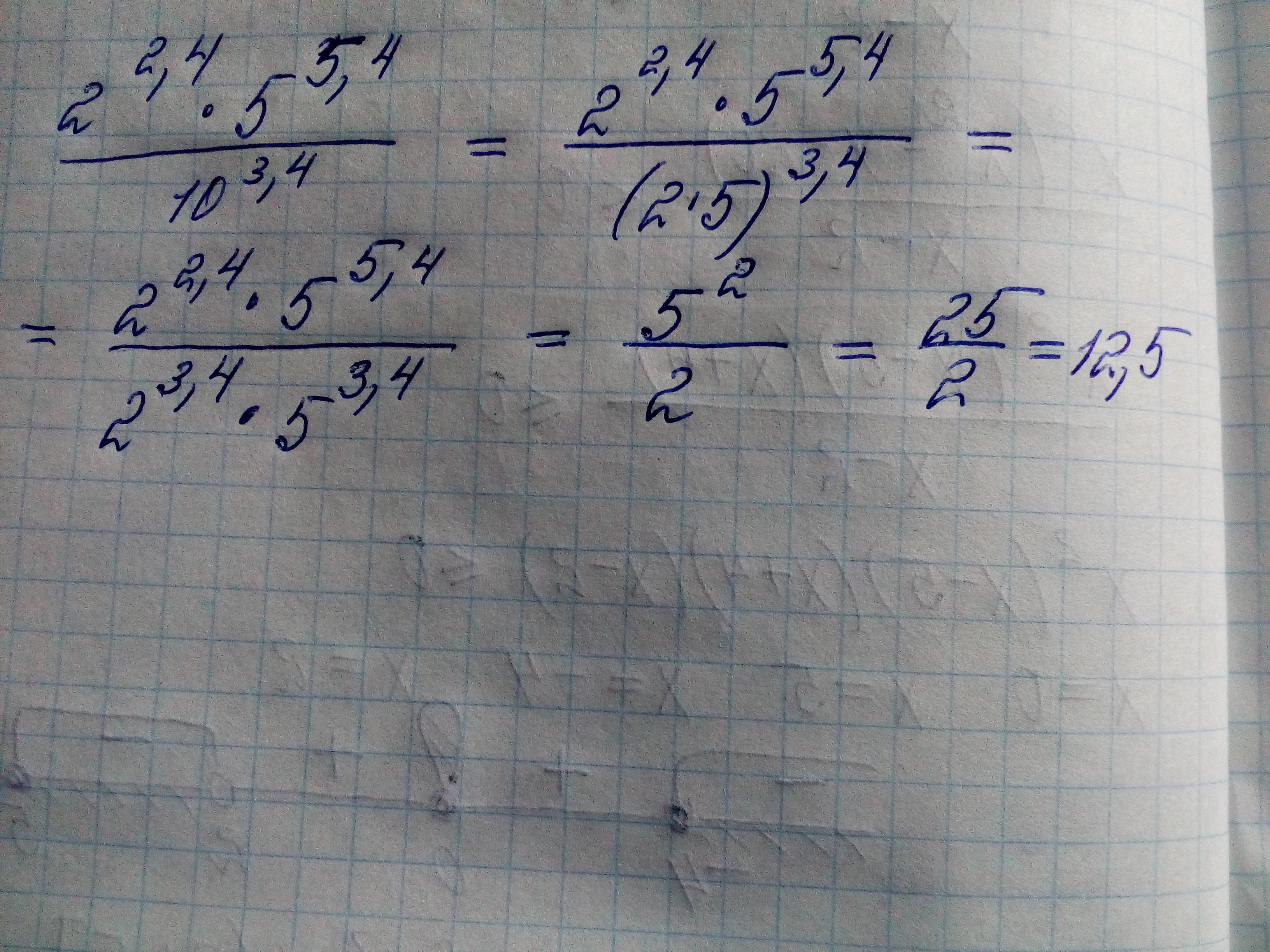
2²'⁴*5⁵'⁴/10³'⁴ найти значение выражения

Ответы

Ответ дал: m11m
0

!!!!!!!!!!!!!!!!!!!!!!!

Приложения:
Ответ дал: btanij
0
Здравствуйте
Ответ дал: btanij
0
Можете пожалуйста помочь с алгеброй ?
Ответ дал: btanij
0
Задание на моей странице
Ответ дал: btanij
0
Заранее спасибо
Ответ дал: btanij
0
Там 7 и 8
Вас заинтересует