Ответы
Ответ дал:
0
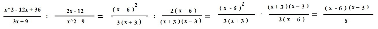
= решение = решение = решение = решение = решение =
Приложения:

Ответ дал:
0
Как дать баллы?
Ответ дал:
0
Или они автоматически?
Вас заинтересует
2 года назад
3 года назад
3 года назад
9 лет назад
9 лет назад
9 лет назад