• Предмет: Алгебра
  • Автор: kolyamilks
  • Вопрос задан 8 лет назад

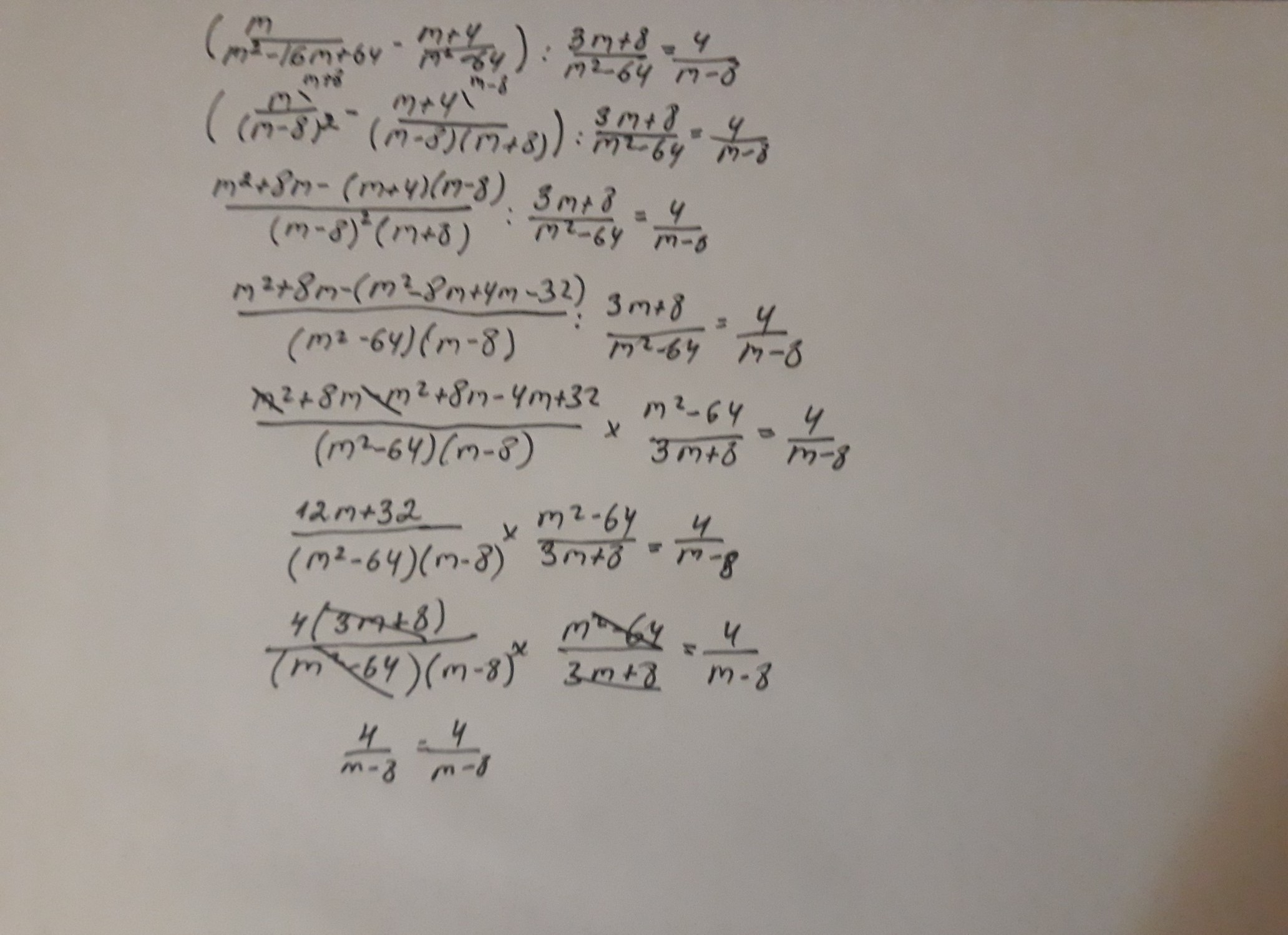
Решите 3-4 и с решением.

Приложения:

Ответы

Ответ дал: вадя07bog
0

а конкретно что решить надо?


Ответ дал: kolyamilks
0
Докозать тождество во 3 и решить 4.
Ответ дал: kimjungkook
0
надеюсь поймете мой почерк)
Приложения:
Вас заинтересует