• Предмет: Алгебра
  • Автор: Layneks
  • Вопрос задан 8 лет назад

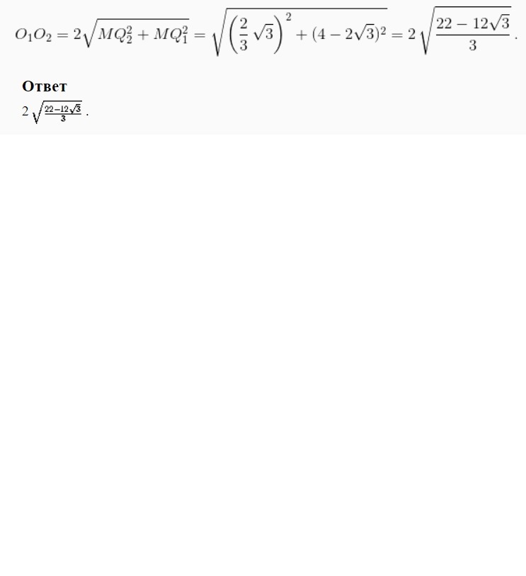
Объясните (подробно) как пришли к этому ответу. Спасибо

Приложения:

Ответы

Ответ дал: m11m
0

!!!!!!!!!!!!!!!!!!!!!!!

Приложения:
Ответ дал: Layneks
0
Большое спасибо.
Вас заинтересует