• Предмет: Математика
  • Автор: callsmarkvretigo
  • Вопрос задан 8 лет назад

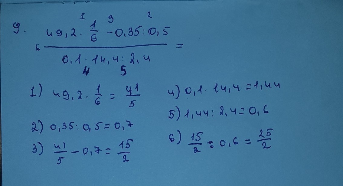
Решите 9-ый номер
И пришлите фото
Мне срооочно

Приложения:

Ответы

Ответ дал: Rico99
0
Не понял только что такое анализ компонентов действий и решил сделать просто по действиям
Приложения:
Вас заинтересует