Ответы
Ответ дал:
0
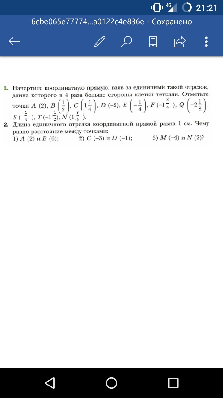
номер 1
А=2=2/1=16/8
В=1/2=4/8
С=1×1/4=5/4=10/4
D=-2=-2/1=-16/8
E=-1/4=-2/8
F=-1×3/4=-7/4=-14/8
Q=-2×1/8=-17/8
S=2/4=4/8
T=-1×1/2=-3/4=-12/8
N=1×3/4=7/4=14/8
По возрастанию: Q, D, F, T, E, B и S, C, N, A
А=2=2/1=16/8
В=1/2=4/8
С=1×1/4=5/4=10/4
D=-2=-2/1=-16/8
E=-1/4=-2/8
F=-1×3/4=-7/4=-14/8
Q=-2×1/8=-17/8
S=2/4=4/8
T=-1×1/2=-3/4=-12/8
N=1×3/4=7/4=14/8
По возрастанию: Q, D, F, T, E, B и S, C, N, A
Вас заинтересует
2 года назад
2 года назад
3 года назад
3 года назад
9 лет назад
9 лет назад
10 лет назад
10 лет назад