Посчитайте последнее действие, мне нужно именно все значения подставить и получить вот тот ответ. Думаю вы меня поняли :)
Приложения:

Ответы
Ответ дал:
0
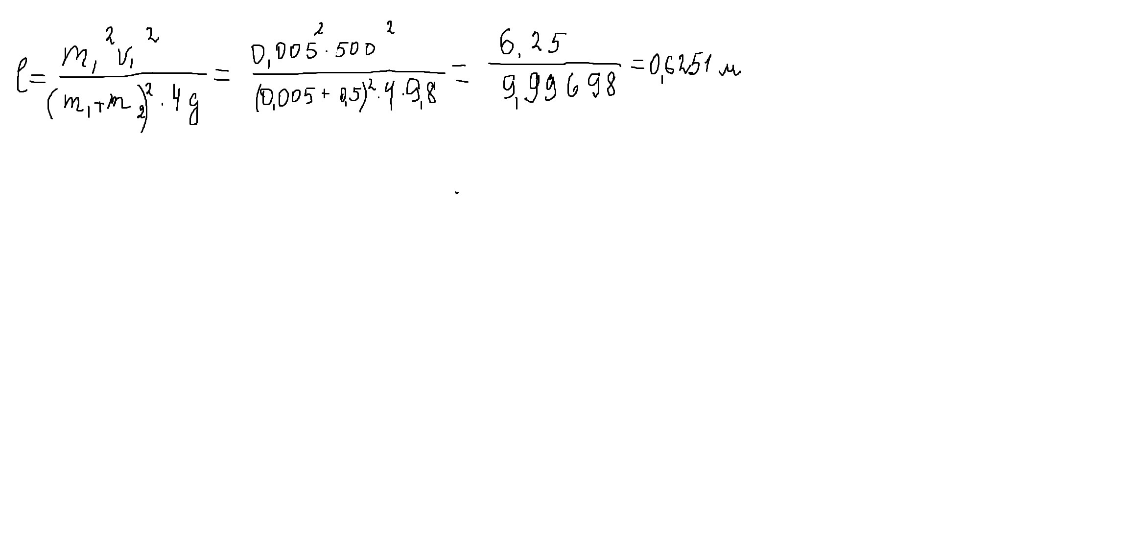
Пусть L - длина стержня, M=0,5 кг - масса шара и m=0,005 кг- масса пули, v =500 м/с - скорость движения пули. Шар с пулей поднимутся до верхней точки окружности, то есть на высоту h=2*L, при условии, что потенциальная энергия шара с пулей в верхней точке E1=(M+m)*g*2*L будет равна их кинетической энергии E2=(M+m)*v1²/2 в нижней точке. Скорость v1 определим из закона сохранения импульса: m*v=(M+m)*v1, откуда v1=m*v/(M+m)=0,005*500/(0,505)≈4,95 м/с. Из равенства 2*(M+m)*g*L=(M+m)*v1²/2, или 2*g*L=v1²/2 находим L=v1²/(4*g). Полагая g≈10 м/с², окончательно получаем L≈(4,95)²/40≈0,61 м. Ответ: L≈0,61 м.
Подробнее - на Znanija.com - https://znanija.com/task/22695230#readmore
Ответ дал:
0
нашёл такое
Ответ дал:
0
почитай, может поймёшь
Ответ дал:
0
спасибо
Ответ дал:
0
https://znanija.com/task/30123145 реши пожалуйста
Ответ дал:
0
ошибся тогда,когда в знаменателе 0,505 не возвел в квадрат и скорость не надо было переводить в кмч.
Ответ дал:
0
а у меня такой ответ получился
Приложения:

Вас заинтересует
2 года назад
2 года назад
3 года назад
9 лет назад
9 лет назад
9 лет назад