• Предмет: Алгебра
  • Автор: DeaThTheKiD3217
  • Вопрос задан 8 лет назад

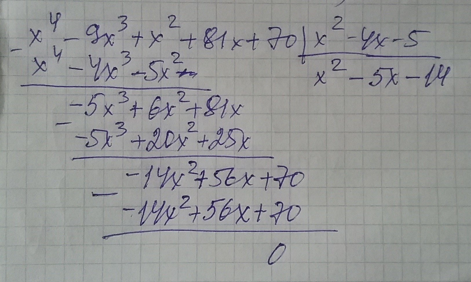
x^4-9x^3+x^2+81x+70 разделить в столбик на x^2-4x-5

Ответы

Ответ дал: 7772738
0
так и только так и никак иначе
Приложения:
Ответ дал: DeaThTheKiD3217
0
Большое спасибо!
Вас заинтересует