• Предмет: Алгебра
  • Автор: qtghx771
  • Вопрос задан 8 лет назад

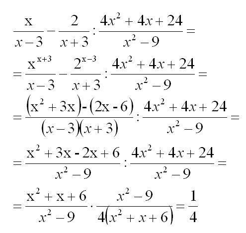
помогите пж срочно 1 вариант 3 пример

Приложения:

Ответы

Ответ дал: Аноним
0

= решение = решение = решение = решение = решение =

Приложения:
Ответ дал: qtghx771
0
спс
Ответ дал: qtghx771
0
а можешь 1 и 2 посмотреть пж?)
Ответ дал: qtghx771
0
примно
Вас заинтересует