• Предмет: Алгебра
  • Автор: semenovaekaterina
  • Вопрос задан 8 лет назад

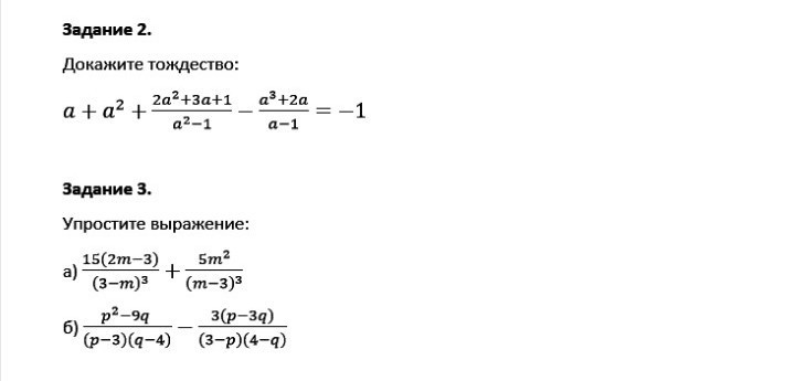
Помогите пожалуйста. Очень срочно. 25 баллов и +100 к карме

Приложения:

Ответы

Ответ дал: steep99
0
1 задание. Сейчас второе сделаю
Приложения:
Вас заинтересует