• Предмет: Алгебра
  • Автор: darsad
  • Вопрос задан 8 лет назад

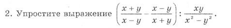
Помогите с алгеброй пожалуйста. посчитайте только скобку

Приложения:

Ответы

Ответ дал: Nina1952
0
Смотри ))))))))))))))))))))))))
Приложения:
Вас заинтересует