• Предмет: Алгебра
  • Автор: qwerty86691
  • Вопрос задан 8 лет назад

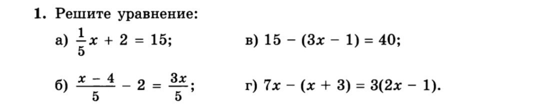
СРОЧНО Решите уравнения:

Приложения:

Ответы

Ответ дал: mefody66
0

А) умножаем на 5

x + 10 = 75

x = 65

Б) тоже умножаем на 5

x - 4 - 10 = 3x

-14 = 2x

x = - 7

В) 15 - 3x + 1 = 40

-3x = 40 - 16 = 24

x = 24/(-3) = - 8

Г) 7x - x - 3 = 6x - 3

6x - 3 = 6x - 3

Это уравнение верно при любом х.

Ответ: х любое.

Вас заинтересует