Атом элемента имеет на 11 электронов больше, чем ион магния. Найдите сумму электронов, протонов, нейтронов этого вещества.
Ответы
Ответ дал:
0
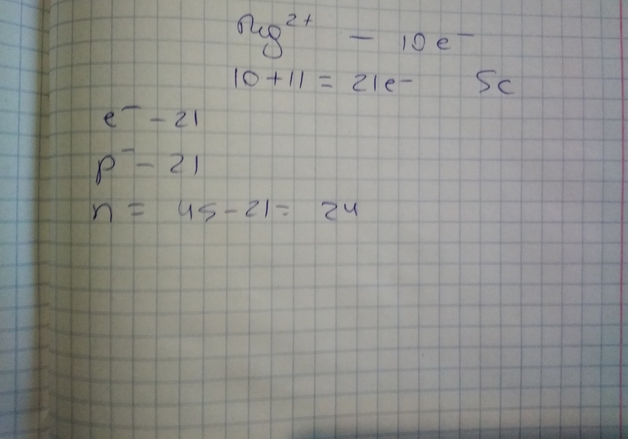
Смотри фото если что-то не понятно пиши в коменты
Приложения:

Вас заинтересует
2 года назад
2 года назад
3 года назад
3 года назад
9 лет назад
9 лет назад
9 лет назад