• Предмет: Алгебра
  • Автор: Аноним
  • Вопрос задан 8 лет назад

Найдите лимит. Не используя правило Лопиталя. Даю максимум баллов.

Приложения:

Ответы

Ответ дал: Mirage86
0

I hope this helps you

Приложения:
Ответ дал: Аноним
0
I love you
Ответ дал: Аноним
0
pliz help me, two questions
Ответ дал: wturm
0

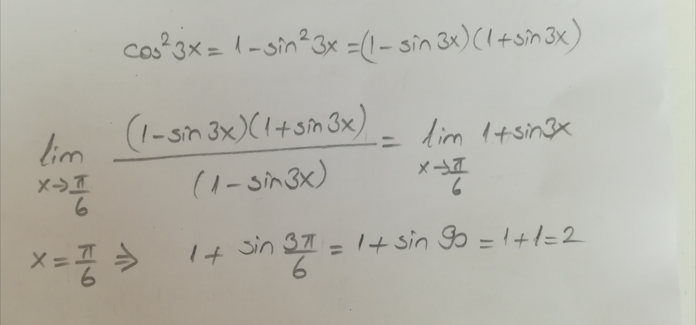
lim(x ->   frac{pi}{6}) frac{ { cos}^{2}(3x) }{1 -  sin(3x) }  =  | frac{0}{0} |  =  | { cos }^{2} (3x) = 1 -  { sin}^{2} (3x)  = (1 -  sin(3x) )(1 +  sin(3x) )|  = lim(x ->   frac{pi}{6}) frac{(1 -  sin(3x) )(1 +  sin(3x))}{1 -  sin(3x)}  = lim(x ->   frac{pi}{6})(1  + sin(3x)) = 1 + 1 = 2
Приложения:
Вас заинтересует