• Предмет: Алгебра
  • Автор: alinawood13
  • Вопрос задан 8 лет назад

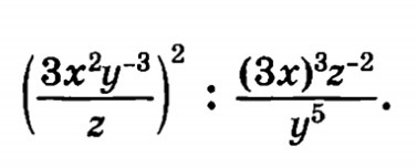
ПОМОГИТЕ С АЛГЕБРОЙ ПОЖАЛУЙСТА!!!

Приложения:

Ответы

Ответ дал: Hikaru007
0

Решение на фотографии

Приложения:
Вас заинтересует