Ответы
Ответ дал:
0
Ответ дал:
0
....................
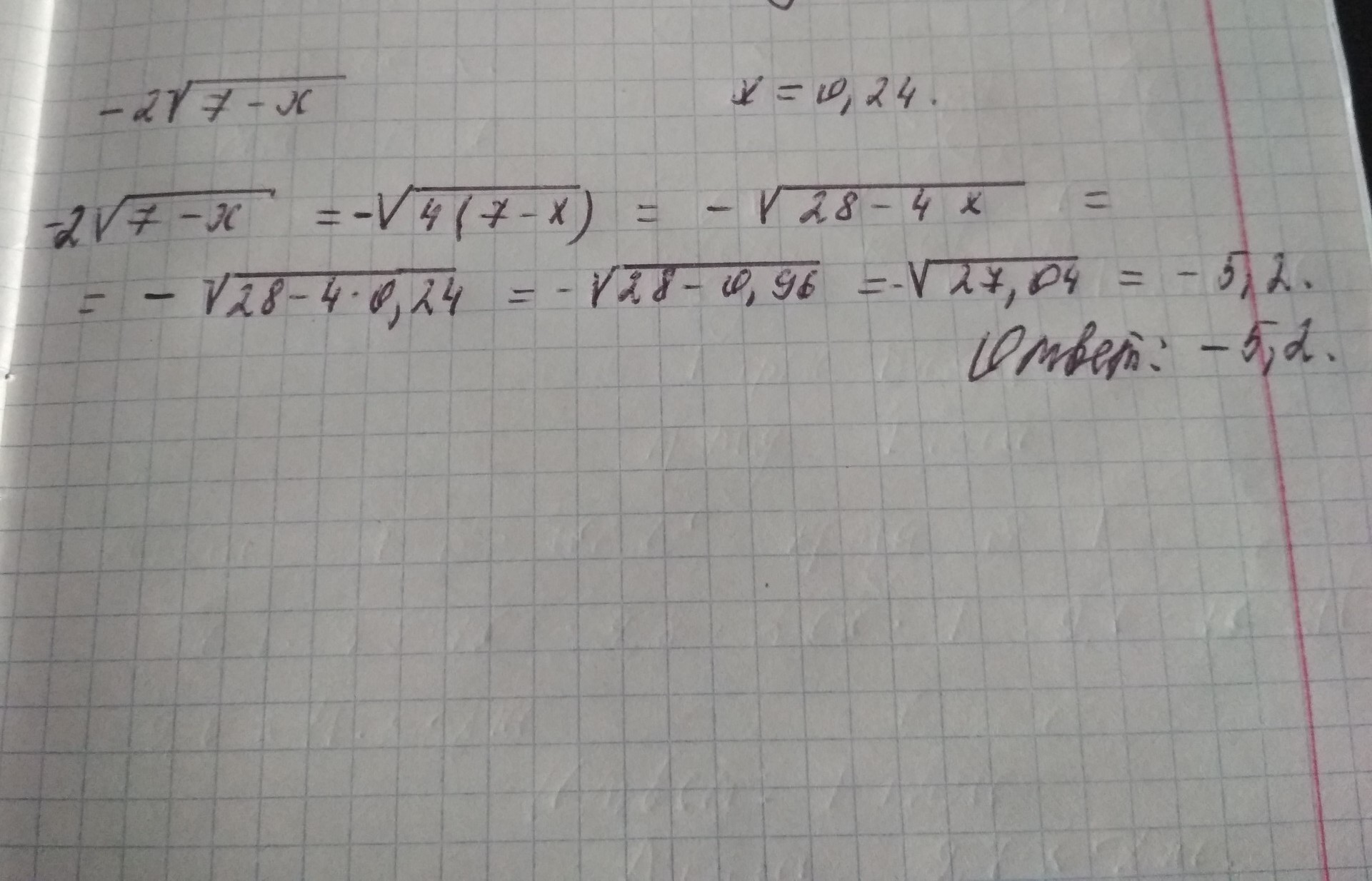
Приложения:

Вас заинтересует
2 года назад
2 года назад
3 года назад
3 года назад
9 лет назад
9 лет назад