• Предмет: Математика
  • Автор: vyuil
  • Вопрос задан 8 лет назад

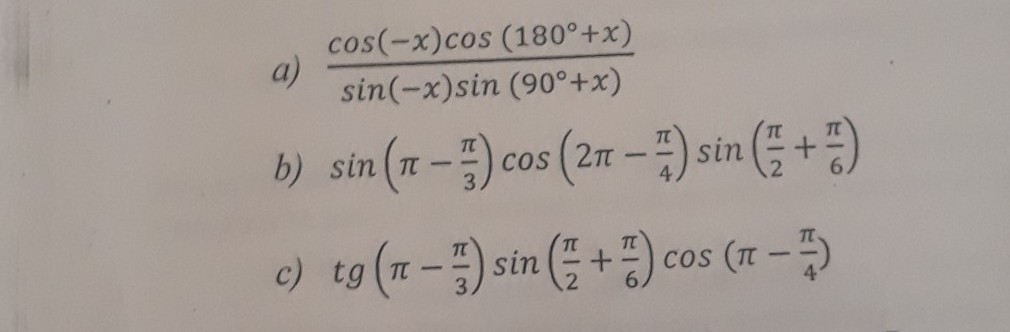
Помогите решить!!!!!

Приложения:

Ответы

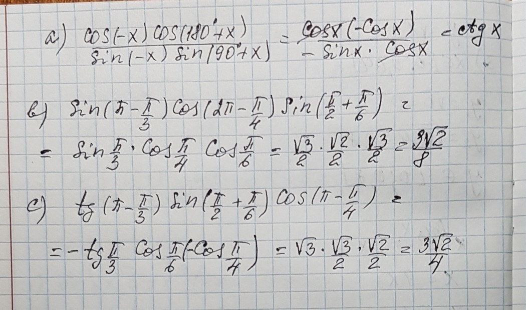
Ответ дал: 1233090
0
решение задания смотри на фотографии
Приложения:
Вас заинтересует