• Предмет: Алгебра
  • Автор: Infalible
  • Вопрос задан 8 лет назад

23 БАЛЛА!!!
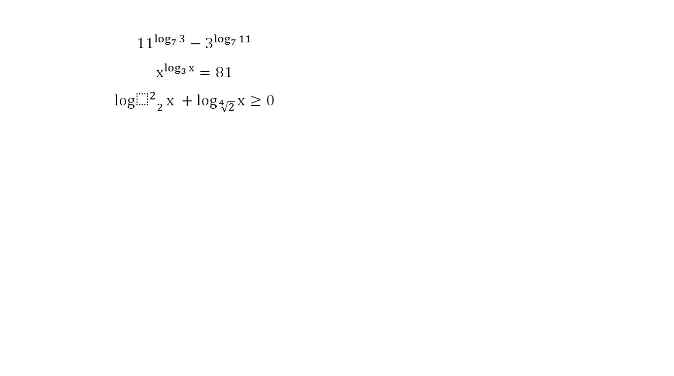
3 уравнения

Приложения:

Ответы

Ответ дал: trekhperstovevgeniy
0

Решил первые два.

Если что задавайте вопросы.

Приложения:
Ответ дал: Гоша68
0

ответ в поместил в файл

Приложения:
Ответ дал: Infalible
0
спасибо))
Ответ дал: Infalible
0
а там не должно быть t^2+4t больше ровно нулю?
Ответ дал: LFP
0
да, в неравенстве коэффициент потерялся)) должно быть: t²+4t≥0
Вас заинтересует