Ответы
Ответ дал:
0
1) хз
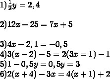
2) 12х - 25 = 7х + 5
12х - 7х = 5 -25
5х = -20
х = (-20) ÷ 5
х = - 4
Ответ : -4
3) 4х - 2,1 = -0,5
4х = 2,1 - 0,5
4х = 1.6
х = 1,6 ÷ 4
х= 0,4
Ответ: 0,4
4) не могу понять, какой знак вместо равно 2 ( 3х = (?) 1 )
5) не могу понять , какой знак вместо равно = 0,5у = (?) 3
6) 2 ( х + 4 ) - 3х = 4 ( х + 1 ) + 2
2х + 8 - 3х = 4х + 4 + 2
2х - 3х - 4х = - 8 + 4 + 2
-5х = 2
х = 2 : (-5)
х = - 0,4
2) 12х - 25 = 7х + 5
12х - 7х = 5 -25
5х = -20
х = (-20) ÷ 5
х = - 4
Ответ : -4
3) 4х - 2,1 = -0,5
4х = 2,1 - 0,5
4х = 1.6
х = 1,6 ÷ 4
х= 0,4
Ответ: 0,4
4) не могу понять, какой знак вместо равно 2 ( 3х = (?) 1 )
5) не могу понять , какой знак вместо равно = 0,5у = (?) 3
6) 2 ( х + 4 ) - 3х = 4 ( х + 1 ) + 2
2х + 8 - 3х = 4х + 4 + 2
2х - 3х - 4х = - 8 + 4 + 2
-5х = 2
х = 2 : (-5)
х = - 0,4
Вас заинтересует
2 года назад
3 года назад
3 года назад
9 лет назад
10 лет назад