Ответы
Ответ дал:
0
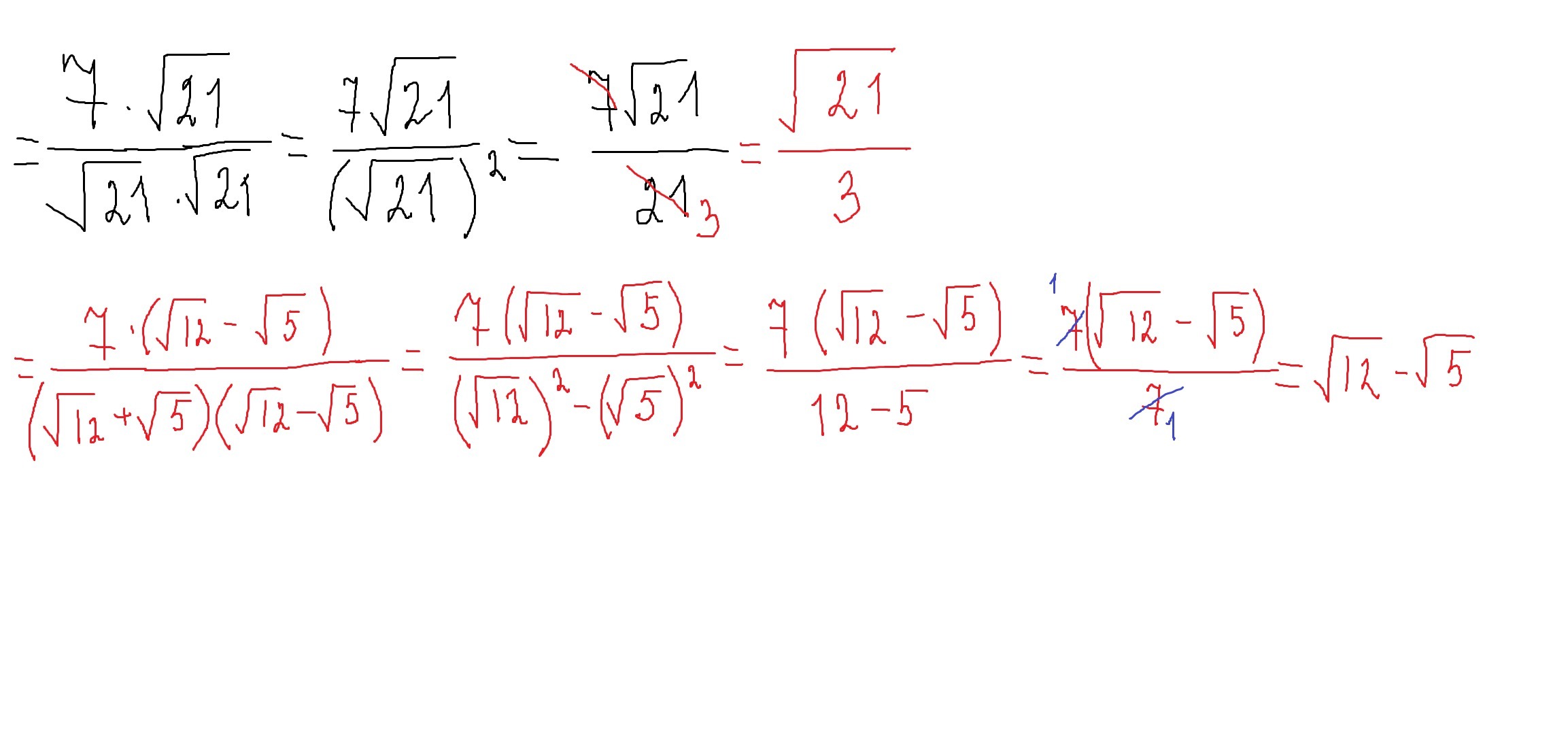
смотри решение внизу
Приложения:

Ответ дал:
0
Вот еще одна ответы есть а решения тут нема https://znanija.com/task/30146553
Вас заинтересует
2 года назад
2 года назад
3 года назад
3 года назад
9 лет назад
9 лет назад
9 лет назад