Ответы
Ответ дал:
0
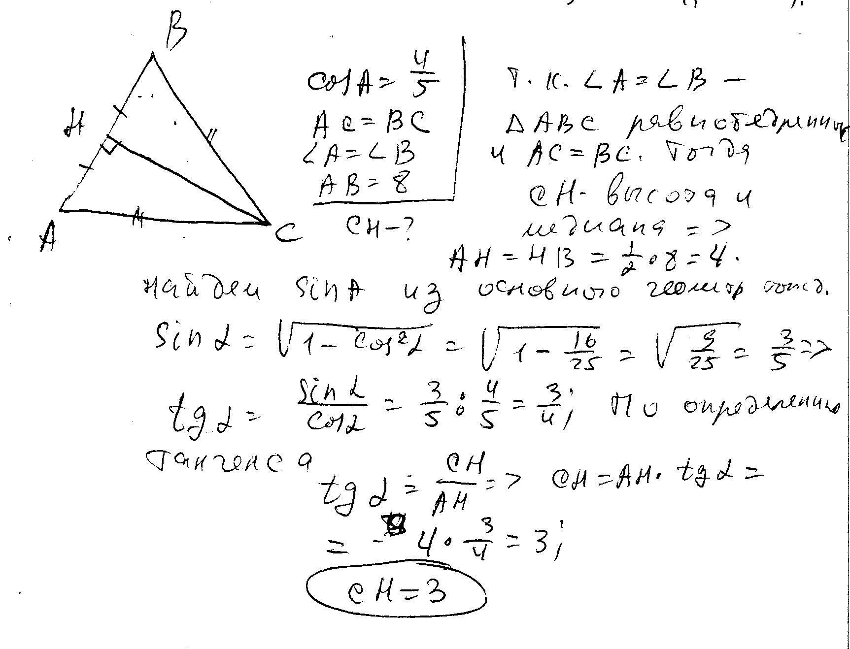
в треугольнике abc ab=8, угол a= углу b, cos a=4/5/ найдите биссиктрису ch
Приложения:

Вас заинтересует
2 года назад
2 года назад
8 лет назад
8 лет назад
10 лет назад
10 лет назад
10 лет назад