Ответы
Ответ дал:
0
........................
Приложения:

Ответ дал:
0
Спасибо бро
Ответ дал:
0
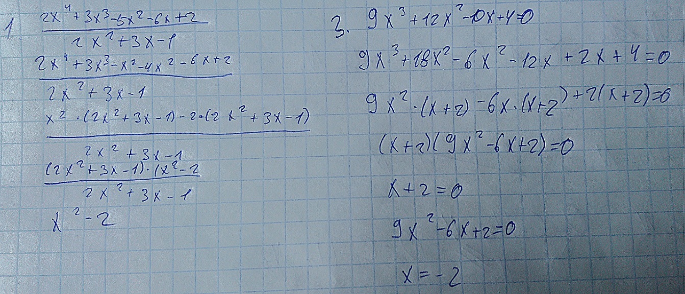
Бро там 1 надо столбиком поделить (как обычное деления столбиком)
Вас заинтересует
2 года назад
2 года назад
3 года назад
3 года назад
9 лет назад
9 лет назад
9 лет назад