• Предмет: Математика
  • Автор: Ishimaru01
  • Вопрос задан 8 лет назад

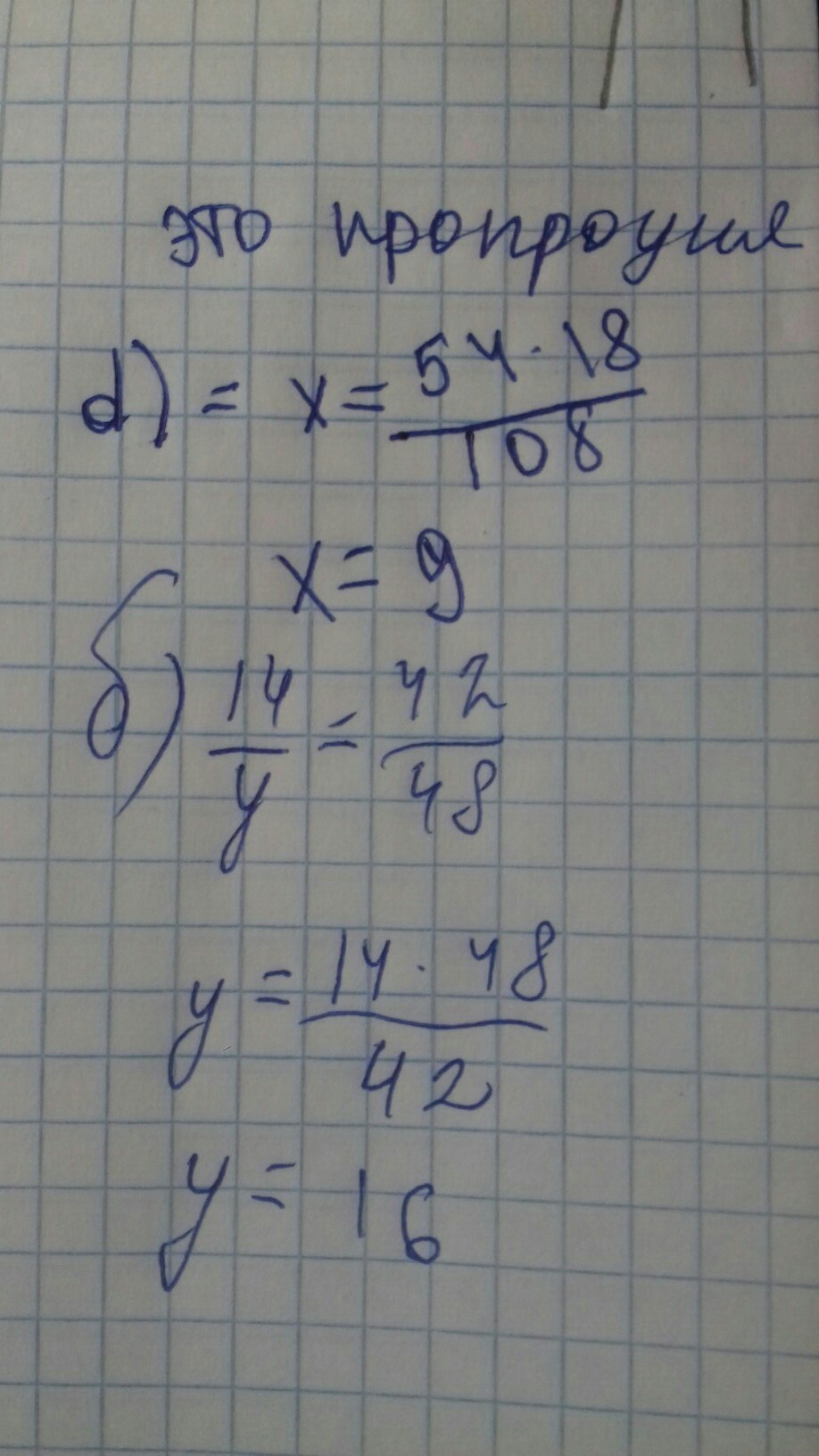
найдите х используя основные свойства дроби

Приложения:

Ответы

Ответ дал: BitchBarbie
0
вот ответ это пропорция
Приложения:
Вас заинтересует