• Предмет: Алгебра
  • Автор: NikitaVoronovBitch
  • Вопрос задан 8 лет назад

Упростите выражение 3x/x-3 + x+5/6-2x x 54/5x-x2;
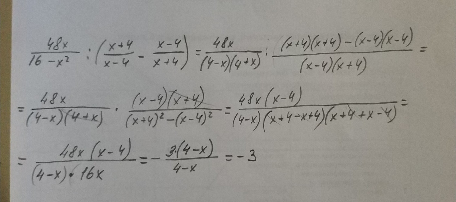
                                      48x/16-x2 : (x+4/x-4 - x-4/x+4)

Ответы

Ответ дал: гюйс
0
вот второй. в первом что-то не так
Приложения:
Вас заинтересует