• Предмет: Алгебра
  • Автор: lys3nnon
  • Вопрос задан 8 лет назад

ПОМОГИТЕ РЕШИТЬ.
СРОЧНО! 15 БАЛЛОВ

Приложения:

Ответы

Ответ дал: кркркркр
0

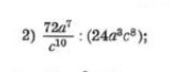
72а7/с10:(24а2с8)=3а5/с18

Ответ дал: Аноним
0
Помогите мне есле не сложно.
Ответ дал: Аноним
0
1.Найдите значение числового выражения
А)2,8-5,1-4,9+7,2
Б)0,4* 2/7 +0,4* 5/7
Ответ дал: lys3nnon
0
а)0,9
Вас заинтересует