• Предмет: Алгебра
  • Автор: Аноним
  • Вопрос задан 8 лет назад

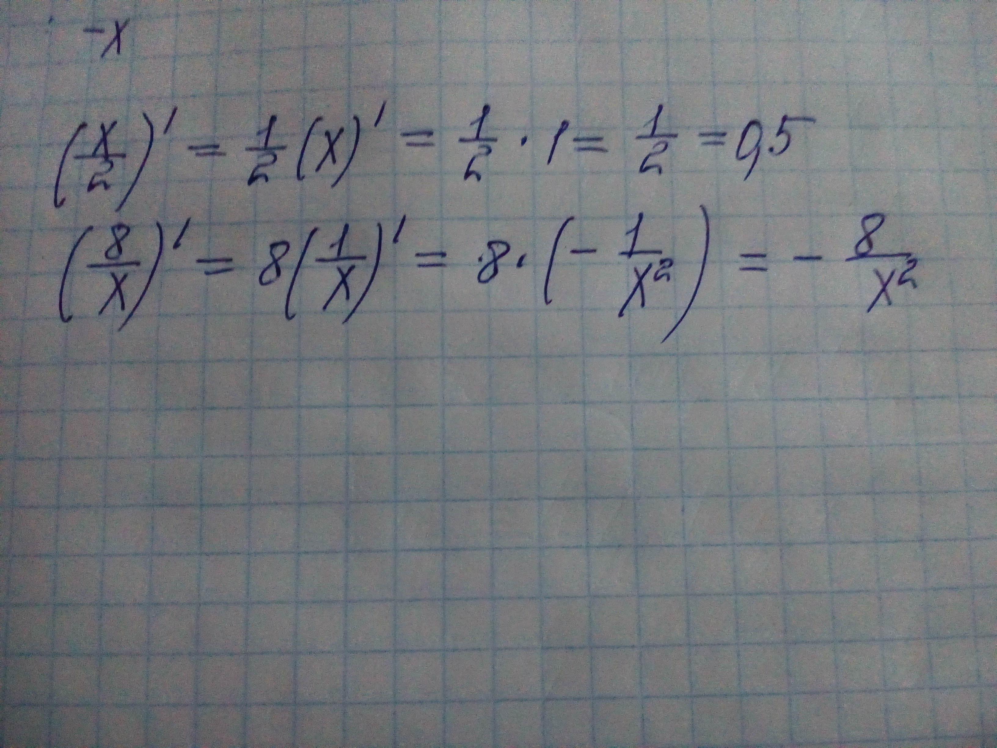
Здравствуйте. Найдите пожалуйста производную от x/2 и от 8/x

Ответы

Ответ дал: m11m
0

!!!!!!!!!!!!!!!!!!!!!!!!!!!!

Приложения:
Ответ дал: m11m
0
Формула: (c*u)'=c*u'. с - константа (число). В первом примере с=½; во втором с=8.
Ответ дал: m11m
0
Если у вас, например, будет пример: найти производную от числа 5, то (5)'=0.
Ответ дал: Аноним
0
Ооо спасибо. И ещё один вопрос. Скажите пожалуйста, как мы выводим производную из 1/x. Если по формуле fx/gx = f’(x)*g(x)-f’(x)*g(x)/g^2(x)
Ответ дал: Аноним
0
У мен получилось x-1/x^2
Ответ дал: m11m
0
Обновите страницу. Добавлено второе фото с объяснением.
Вас заинтересует