Ответы
Ответ дал:
0
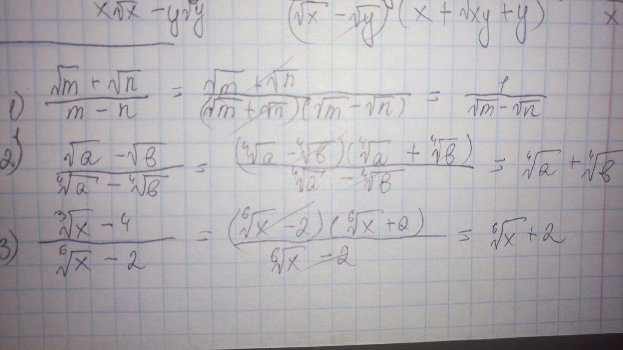
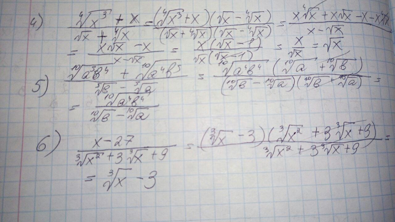
Решение на фотографии ниже
Приложения:


Вас заинтересует
2 года назад
2 года назад
3 года назад
3 года назад
9 лет назад
9 лет назад
9 лет назад