• Предмет: Алгебра
  • Автор: Machimahi
  • Вопрос задан 8 лет назад

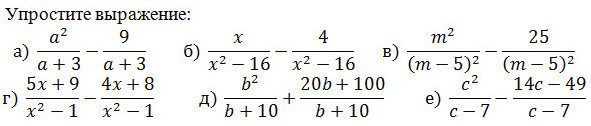
Упростите выражения плизз

Приложения:

Ответы

Ответ дал: ponchuk25
0
в готовых домашних заданиях
посмотри а то написать ответы сложно
Вас заинтересует