• Предмет: Математика
  • Автор: persik11134
  • Вопрос задан 8 лет назад

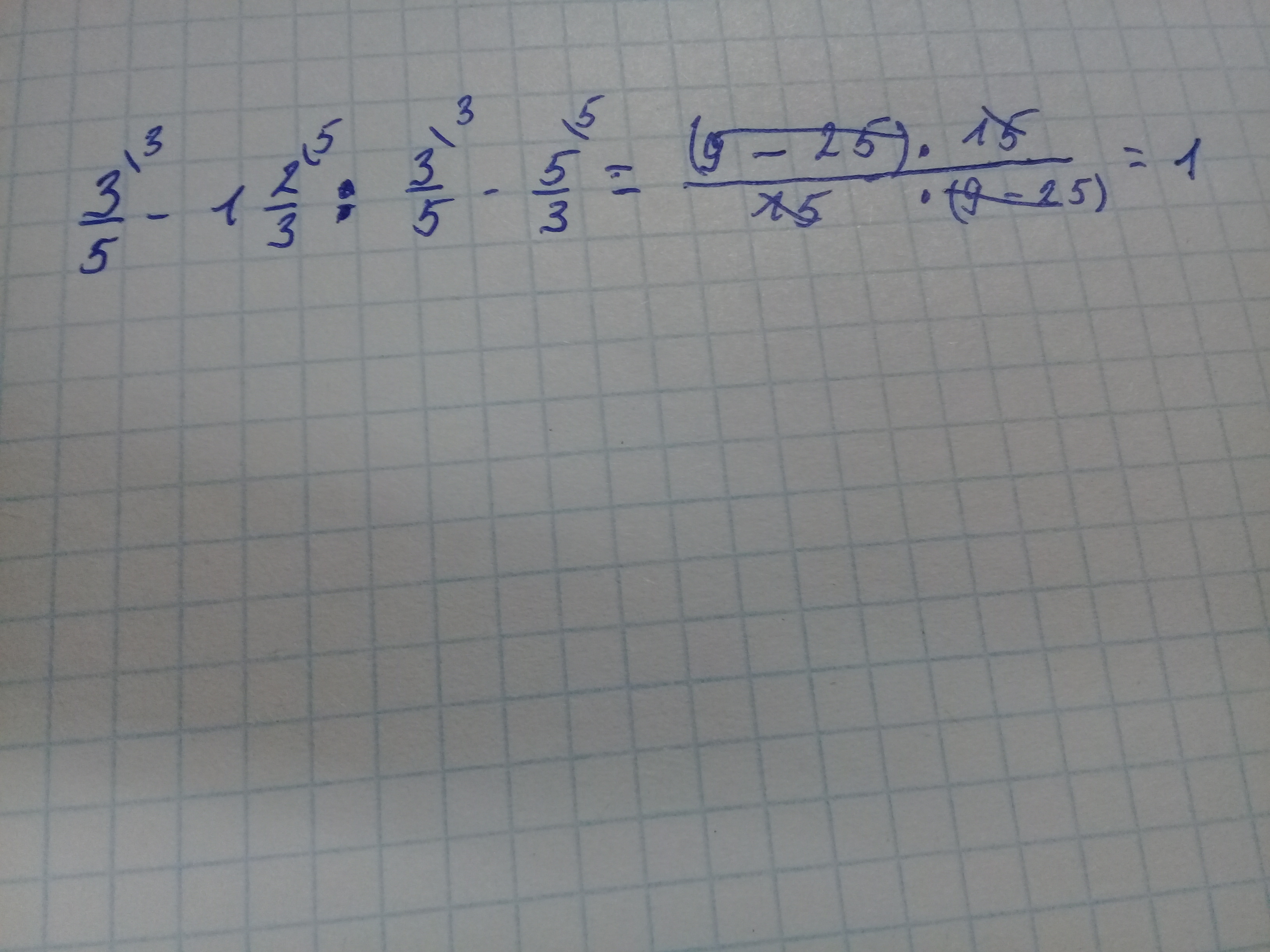
помогите решить пример

Приложения:

Ответы

Ответ дал: vetersleva
0

3/5-12/3=3/5-5/3=9/15-25/15=-14/15

Ответ дал: kezi
0

............................................



Приложения:
Вас заинтересует