• Предмет: Алгебра
  • Автор: vitaliha
  • Вопрос задан 8 лет назад

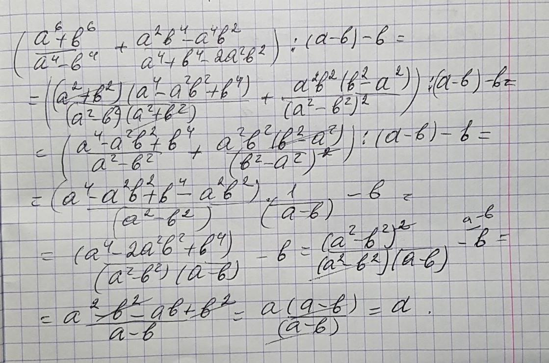
Памагитееееееееееееееееееее!!! Упростите выражение

Приложения:

Ответы

Ответ дал: 1233090
0
решение задания смотри на фотографии
Приложения:
Вас заинтересует
3 года назад