• Предмет: Математика
  • Автор: Аноним
  • Вопрос задан 8 лет назад

СРОЧНО! ДАМ 30 БАЛОВ!!!

Приложения:

Ответы

Ответ дал: nastyamakarova2509
0

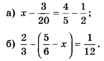
а)  х-3/20=4/5-1/2

х=4/5-1/2+3/20

х=16/20-10/20+3/20

х=9/20

Ответ: 9/20.

б) 2/3-(5/6-х)=1/12

2/3-5/6+х=1/12

х=1/12-2/3+5/6

х=1/12-8/12+10/12

х=3/12=1/4

Ответ:1/4.

Вас заинтересует