Ответы
Ответ дал:
0
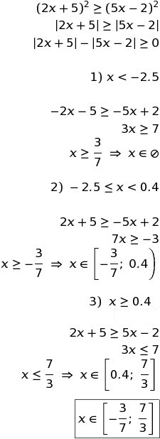
Решение во вложении.
Ответ: x∈[-3/7; 7/3]
Приложения:

Ответ дал:
0
Спасибо
Вас заинтересует
3 года назад
9 лет назад
9 лет назад
9 лет назад