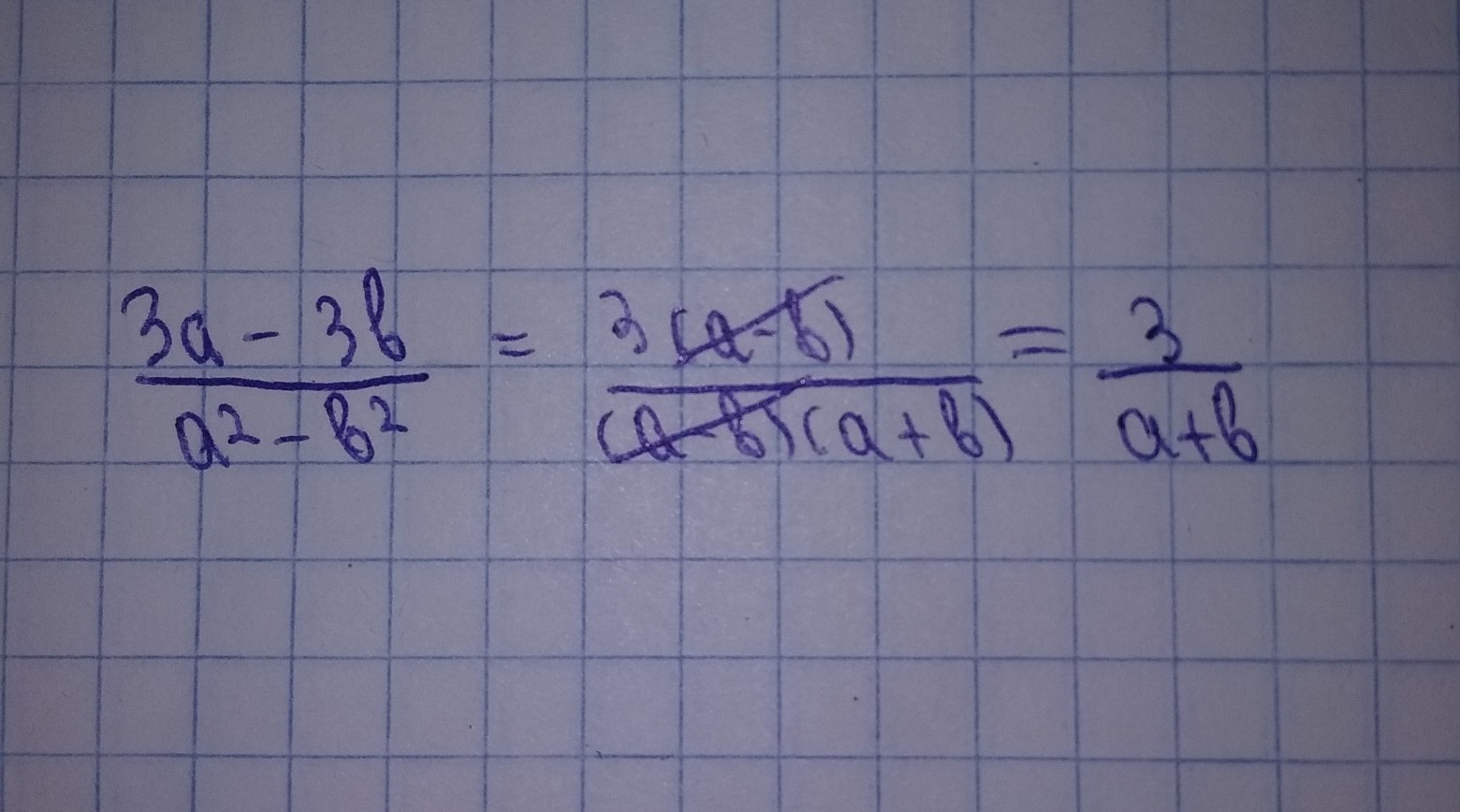
сократите дробь.
3a-3b
---------
a^2-b^2
Просьба решить на листике и сфотографировать.
Умоляю!!!!
Ответы
Ответ дал:
0
сфоткать не могу, т.к. на компе пишу.
3a-3b 3(a-b) 3
---------- = ------------- = ---------
a^2-b^2 (a-b)x(a+b) a+b
Ответ дал:
0
Спасибо огромное!!!!!
Ответ дал:
0
Незачто)
Ответ дал:
0
ответ:

Приложения:
Ответ дал:
0
Спасибо огромное!!!!!
Ответ дал:
0
Пожалуйста)
Вас заинтересует
2 года назад
2 года назад
3 года назад
9 лет назад
10 лет назад