• Предмет: Алгебра
  • Автор: Аноним
  • Вопрос задан 8 лет назад

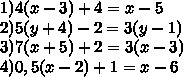
ПОМОГИТЕ РЕШИТЬ УРАВНЕНИЯ


(пожалуйста не только ответ но и как решали)

Приложения:

Ответы

Ответ дал: outsdec99
0
1)4х-12+4=х-5
4х-х=-5+12-4
3х=3
х=3:3
х=1
2)5у+20-2=3у-3
5у-3у=-3-20+2
2у=-21
у=-21:2
у=-10,5
Вас заинтересует